profile
Размещено 2 года назад по предмету Алгебра от ЁЖИКиКРОШиНЮША

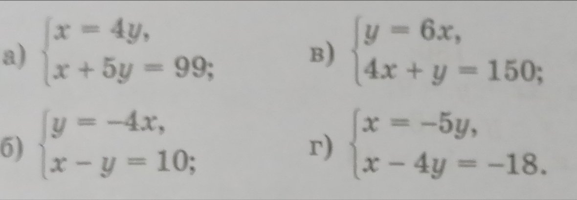
Решите систему уравнений методом подстановки Помогите пожалуйста

Не тот ответ на вопрос, который вам нужен?
Найди верный ответ
Самые новые вопросы
tegysigalpa2012
Русский язык - 6 лет назад

Помогите решить тест по русскому языку тест по русскому языку «местоимение. разряды местоимений» для 6 класса 1. укажите личное местоимение: 1) некто 2) вас 3) ни с кем 4) собой 2. укажите относительное местоимение: 1) кто-либо 2) некоторый 3) кто 4) нам 3. укажите вопросительное местоимение: 1) кем-нибудь 2) кем 3) себе 4) никакой 4. укажите определительное местоимение: 1) наш 2) который 3) некий 4) каждый 5. укажите возвратное местоимение: 1) свой 2) чей 3) сам 4) себя 6. найдите указательное местоимение: 1) твой 2) какой 3) тот 4) их 7. найдите притяжательное местоимение: 1) самый 2) моего 3) иной 4) ничей 8. укажите неопределённое местоимение: 1) весь 2) какой-нибудь 3) любой 4) этот 9. укажите вопросительное местоимение: 1) сколько 2) кое-что 3) она 4) нами 10. в каком варианте ответа выделенное слово является притяжательным местоимением? 1) увидел их 2) её нет дома 3) её тетрадь 4) их не спросили

Информация

Посетители, находящиеся в группе Гости, не могут оставлять комментарии к данной публикации.